
Although spreadsheet use is a habit that many commodity traders find hard to break, the tools that proved adequate for running a trading operation a decade ago are no longer fit for purpose.
In a previous post "4 Reasons to Give Up Spreadsheets for CTRM Software" I described four reasons you should consider breaking your spreadsheet habit.
- Get a grip on your real profitability
- Meet new regulatory requirements
- Break down the corporate silos
- Make the right decisions every time
In this post, I describe four more reasons you should give up spreadsheets.
5) Secure Your Data and Your Business
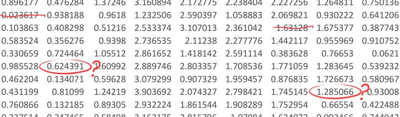
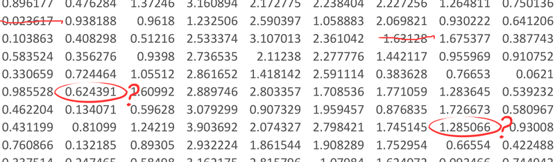
Spreadsheets are almost always the private domain of individuals who set them up to meet an immediate or specific need, with no thought to the wider demands of system management or the business need for risk management best practice. They are by definition, uncontrolled. And they are a huge security risk.
In contrast, next-generation CTRM software demands both user and group security protocols to be established. It provides for effective user permissions and access, detailed audit trails, and management approval of activity. Well-implemented commodity management systems can enforce operational controls and so reduce opportunities for fraud. Configurable business rules allow organizations to instantiate business processes and risk policies, and to monitor compliance on a real-time basis through detailed and logical dashboards and alerts.
6) Overcome the Information Management Hurdles
For businesses that depend on spreadsheets, managing data requires Herculean effort. The accurate monthly closing of the books is just one example. The number and variety of sources to be mined, combined, and validated mean that data is often cut and pasted from one spreadsheet to another, spreading errors through the organization. The task then has to be re-invented each time: with randomly created spreadsheets involved, there is no repeatable process – and the end result is difficult and time-consuming to query. And there’s no let up: as soon as one month’s books are complete, the information Olympics start all over again for the next month.
In contrast, commodity management gives organizational productivity and accuracy. It reduces the amount of time and effort spent on manual reconciliations of internal and external data. Information completeness can be ensured and repeatable processes created to further reduce the chance of errors rippling through the organization. Businesses that have made the transition to CTRM software wonder how they ever managed without it.
7) Secure the Best Business Results
Smart Commodity Management systems give traders and risk managers the ability to simulate new transactions in the current book, analyze multiple scenarios, and then optimize portfolios and execute on the best outcomes. Although spreadsheets can provide some of this functionality with some advanced programming, the circumstances in which spreadsheets are normally deployed suggest it is unlikely.
More to the point, commodity management systems provide this out-of-the-box and in a multi-user, real-time environment. Add in advanced analytics that are embedded in next-generation solutions like Eka, and traders suddenly have real-time access to accurate P&L, VaR, and mark-to-market exposures. These, and other metrics, can be continuously updated, with optimized scenarios being ranked to allow a trader to quickly identify the most profitable outcomes before entering a deal.
8) Keep Stakeholders on Side
Like it or not, there is no escaping the corporate governance agenda. Commodity management technologies have evolved to fill this need. These are increasingly seen by investors, creditors, rating agencies, and shareholders as an indication that governance is being taken seriously.
The latest incarnation of CTRM software has been designed from the start to provide a secure, official, and time-stamped version of events that can be verified against external data in case of audit, research, or investigation. It is a critical design feature of systems such as Eka's, rather than an accidental add-on.
Not only do commodity management systems ensure better, more competitive business decisions but they also provide reassurance to the markets on the validity of all financial statements and disclosures. This increases confidence at a time when it has never been more valuable. Not surprisingly, external and internal stakeholders like the demonstrable commitment to transparency that commodity management systems offer, as well as the visibility that helps mitigate multiple types of risk in today’s global and volatile markets.
Summary
Commodity management systems ensure better, more competitive business decisions. Not surprisingly, external and internal stakeholders like the demonstrable commitment to transparency that next-generation CTRM software offers, as well as the visibility that helps mitigate multiple types of risk in today’s global and volatile markets.
Eka’s Smart Commodity Management platform, InSight CM, is an end-to-end transaction management platform built on a next-generation architecture that provides all the analytics and decision support tools needed by companies that manage commodities. Eka’s InSight CM software platform is suitable for a wide range of commodities in the agricultural, manufacturing, metals, and energy industries. Commodity market participants use Eka's solution to manage commodity trading, raw material procurement, risk and compliance, and supply chain and operations.

